• Предмет: Алгебра
  • Автор: viktorbeluh
  • Вопрос задан 7 лет назад

Помогите пожалуйста!

Приложения:

Ответы

Ответ дал: dashulka22222
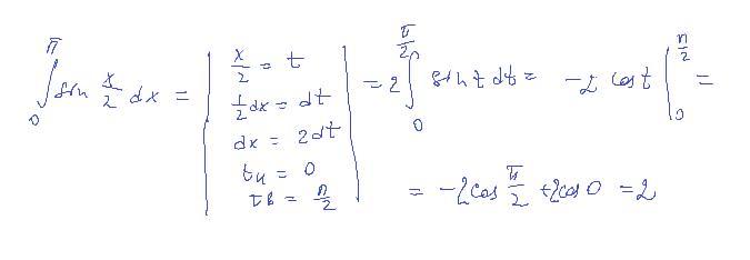
1

Ответ:

замена переменной

Объяснение:

Приложения:
Ответ дал: Аноним
1

интеграл от sin(x/2)=-2cos(x/2)

посчитаем его по формуле Ньютона - Лейбница, т.е.

-2cos(π/2)-(-2cos(0/2))=-2*0+2cos0=2*1=2

Вас заинтересует