• Предмет: Математика
  • Автор: Bezbashenui1tankist
  • Вопрос задан 7 лет назад

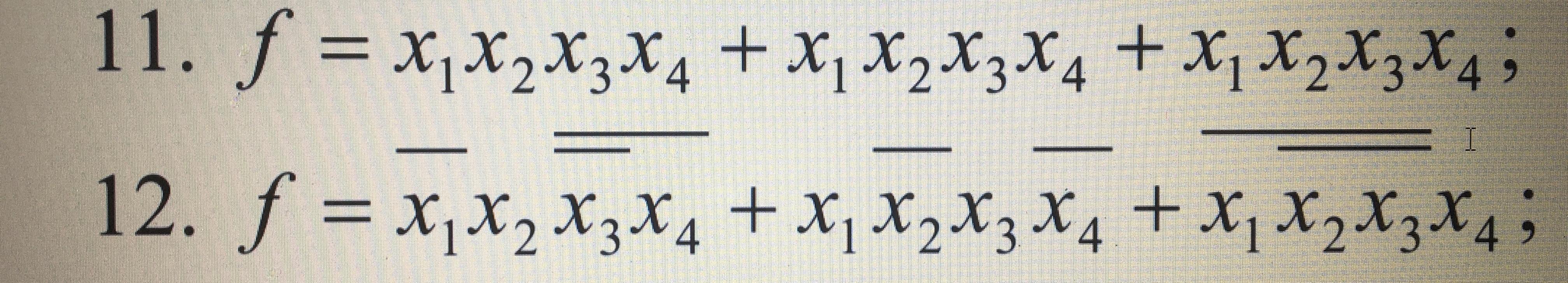
Cпростить логическое уравнение! Срочно! Помогите!!!
Только номер 12.

Приложения:

Ответы

Ответ дал: mitkovdana6
0

Пошаговое объяснение:

(x1 → х2) → (х3→ х4) = 1

(х3 → х4) → (х5 → х6) = 1

(х5 → х6) → (х7 → х8) = 1

Вас заинтересует