• Предмет: Математика
  • Автор: sabrina231109
  • Вопрос задан 7 лет назад

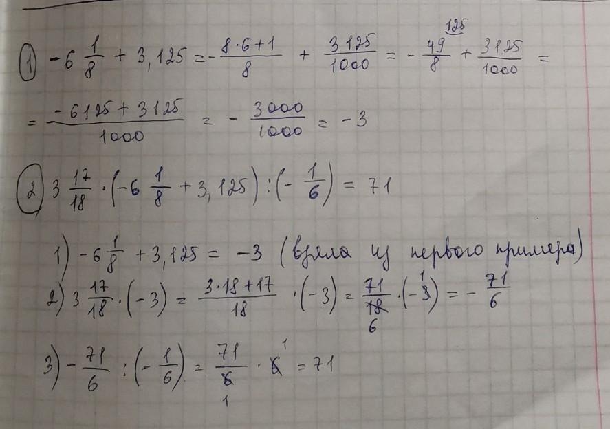
-6 1/8 +3,125=?
3 17/18×(-6 1/8 +3,125) :(-1/6)=????​

Ответы

Ответ дал: elenamuraweva
1

Ответ:

1) - 3

2) 71

Подробное решение во вложении

Приложения:

sabrina231109: спасибооо
Вас заинтересует