• Предмет: Математика
  • Автор: bereketkozhageldy
  • Вопрос задан 7 лет назад

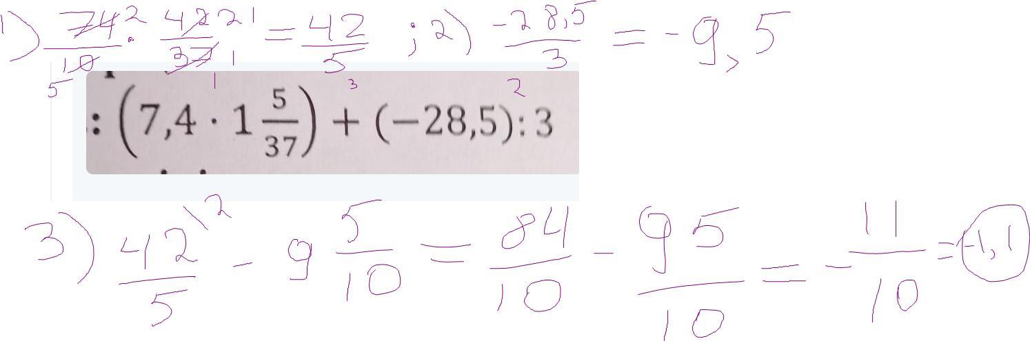
(7,4:1,5/37)+(-28,5): 3​

Приложения:

Ответы

Ответ дал: timurka231205
0

смотри решение снизу

Приложения:
Вас заинтересует