• Предмет: Математика
  • Автор: Max12383
  • Вопрос задан 7 лет назад

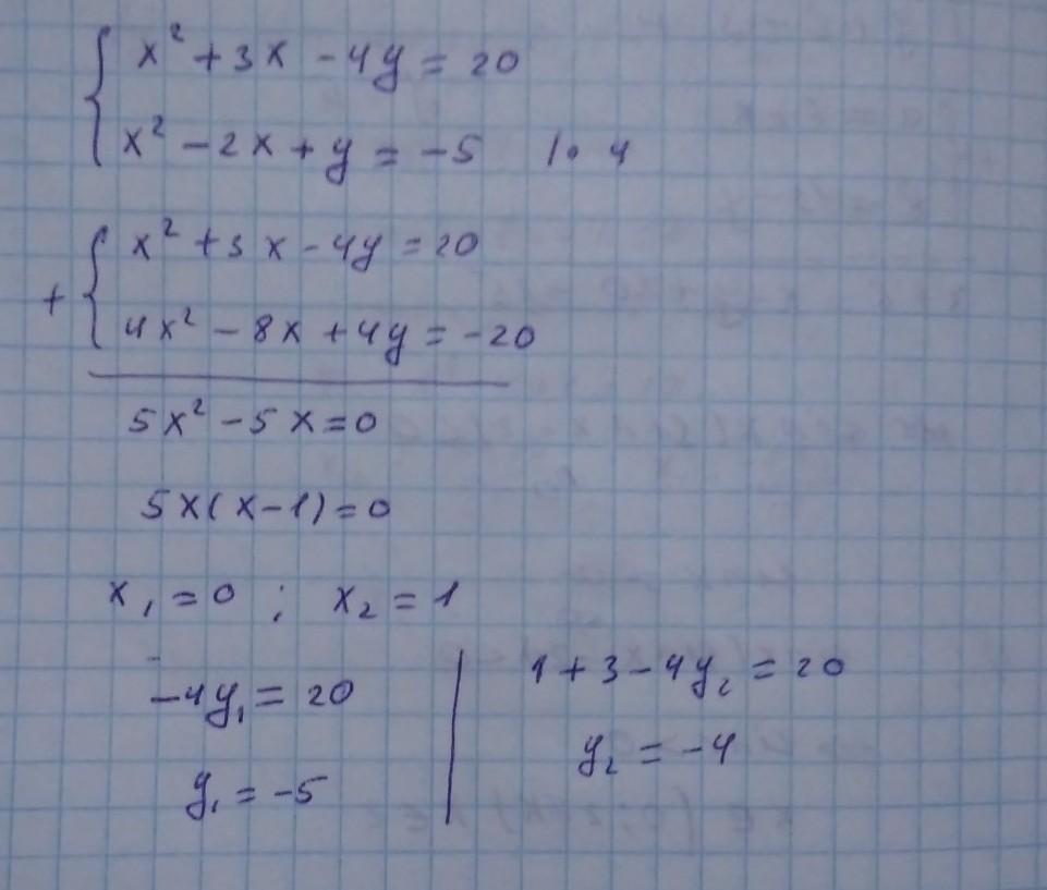
Решите систему уровнений с подробным решением
\left \{ {{x^{2}+3x-4y=20} \atop {{x^{2}-2x+y=-5}} \right.


kleo59571: можешь сфоткать вопрос
Max12383: https://ibb.co/kq9BwvY

Ответы

Ответ дал: kleo59571
1

Ответ:

все на фото хорошо понятно

Пошаговое объяснение:

после того как нашёл x нужно поставить его значение и найти y. я поставил значение x к первому уравнению

Приложения:
Вас заинтересует