• Предмет: Алгебра
  • Автор: Аноним
  • Вопрос задан 7 лет назад

СРОЧНО,ПОСМОТРИТЕ СКРИН !

Приложения:

Ответы

Ответ дал: parus77
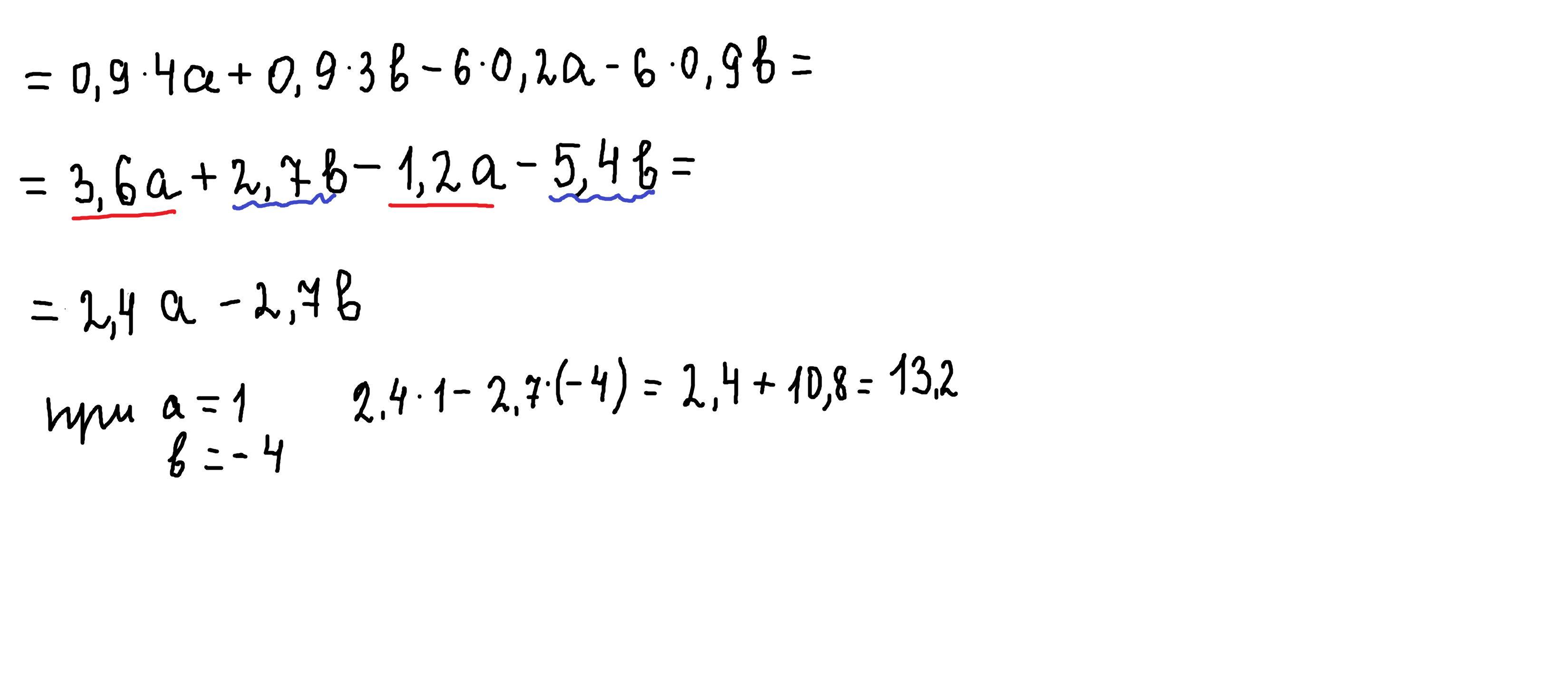
1

Ответ:

13,2

Объяснение:

решение внизу

Приложения:
Вас заинтересует