• Предмет: Математика
  • Автор: rohovyk51
  • Вопрос задан 7 лет назад

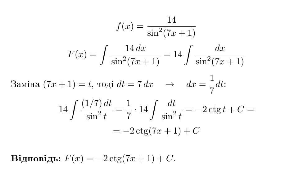
Знфйди первісну f(x)=14/ssin^2(7x+1)

Ответы

Ответ дал: genius20
0

Розв'язок на рисунку. На другому — перевірка на компьютері (\cot x= \textrm{ctg} \,x у західних країнах)

***

Як будь-що буде незрозуміло — запитуй, із задоволенням поясню.

Якщо моя відповідь виявилася корисною, не забудь подякувати ;)

Приложения:
Вас заинтересует