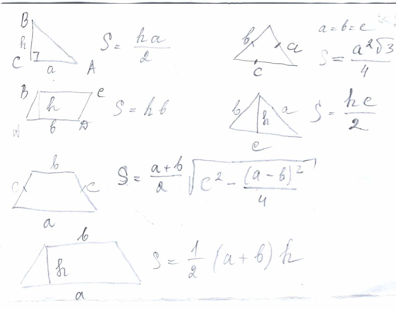
Задание: Обозначьте необходимые элемент и напишите формулы для вычисления площадей.
Приложения:

Ответы
Ответ дал:
1
Ответ:
см ниже
Объяснение:
на фото
Приложения:

Вас заинтересует
2 года назад
2 года назад
2 года назад
8 лет назад
9 лет назад