Ответы
Ответ дал:
0
А второй пример я не знаю как решить
Приложения:

arteman11077:
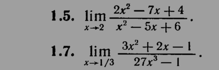
мне только 1.5
Вас заинтересует
2 года назад
2 года назад
2 года назад
2 года назад
8 лет назад
8 лет назад
9 лет назад