• Предмет: Алгебра
  • Автор: aproldsh
  • Вопрос задан 7 лет назад

Помогите пж пж пж пжп пжжппжпжпжпжпжппжп

Приложения:

abdullayevallayar141: это что за программа?
aproldsh: абобус

Ответы

Ответ дал: richardreinerarp
0

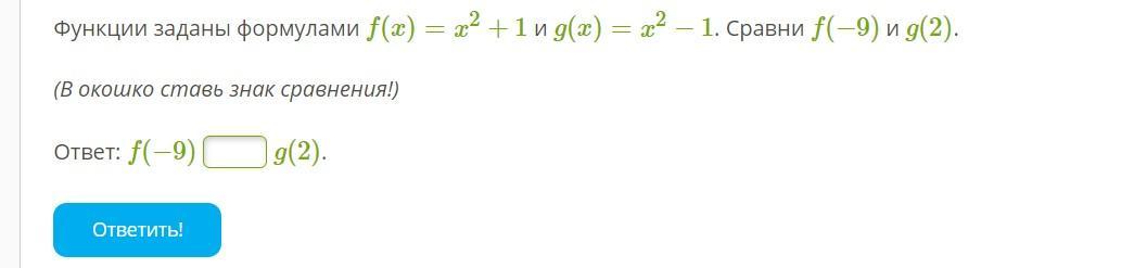
Ответ:

f(-9) > g(2)

Объяснение:

f(x) = x^2 + 1; g(x) = x^2-1\\f(-9) = (-9)^2 + 1 = 81 + 1 = 82\\g(2) = 2^2 - 1 = 4 - 1 = 3\\f(-9) > g(2)

Вас заинтересует