• Предмет: Математика
  • Автор: bebra84
  • Вопрос задан 7 лет назад

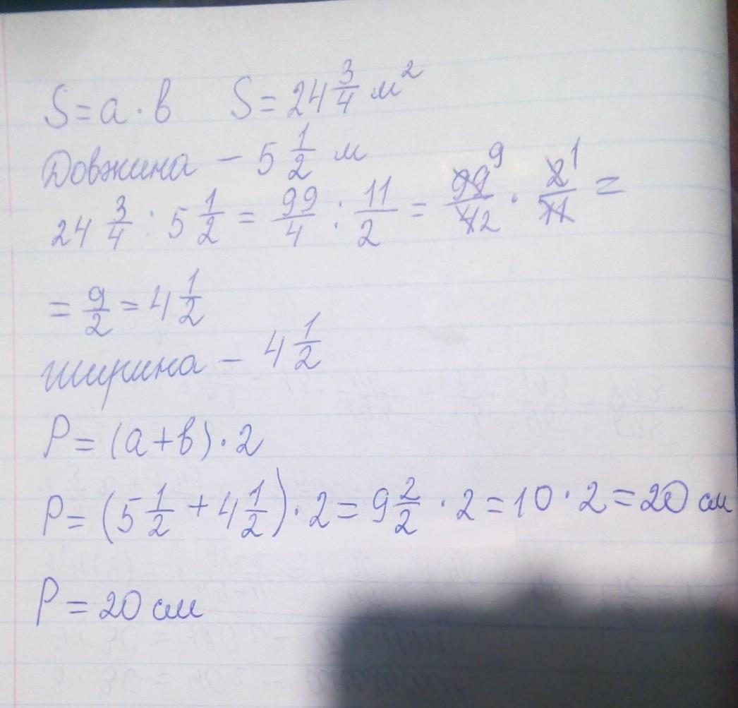
Знайди периметр підлоги прямокутної форми завдовжки 5 1/2 м, площа якої становить 24 3/4 ПОМОГИТЕ СРОЧНО

Ответы

Ответ дал: Elena3982
0

Пошаговое объяснение:

Тримай свою відповідь.

Приложения:
Вас заинтересует