Ответы
Ответ дал:
1
Ответ:
-1
2-3=-1
Надеюсь мой ответ будет полезным)
Ответ дал:
1
Доброго дня.
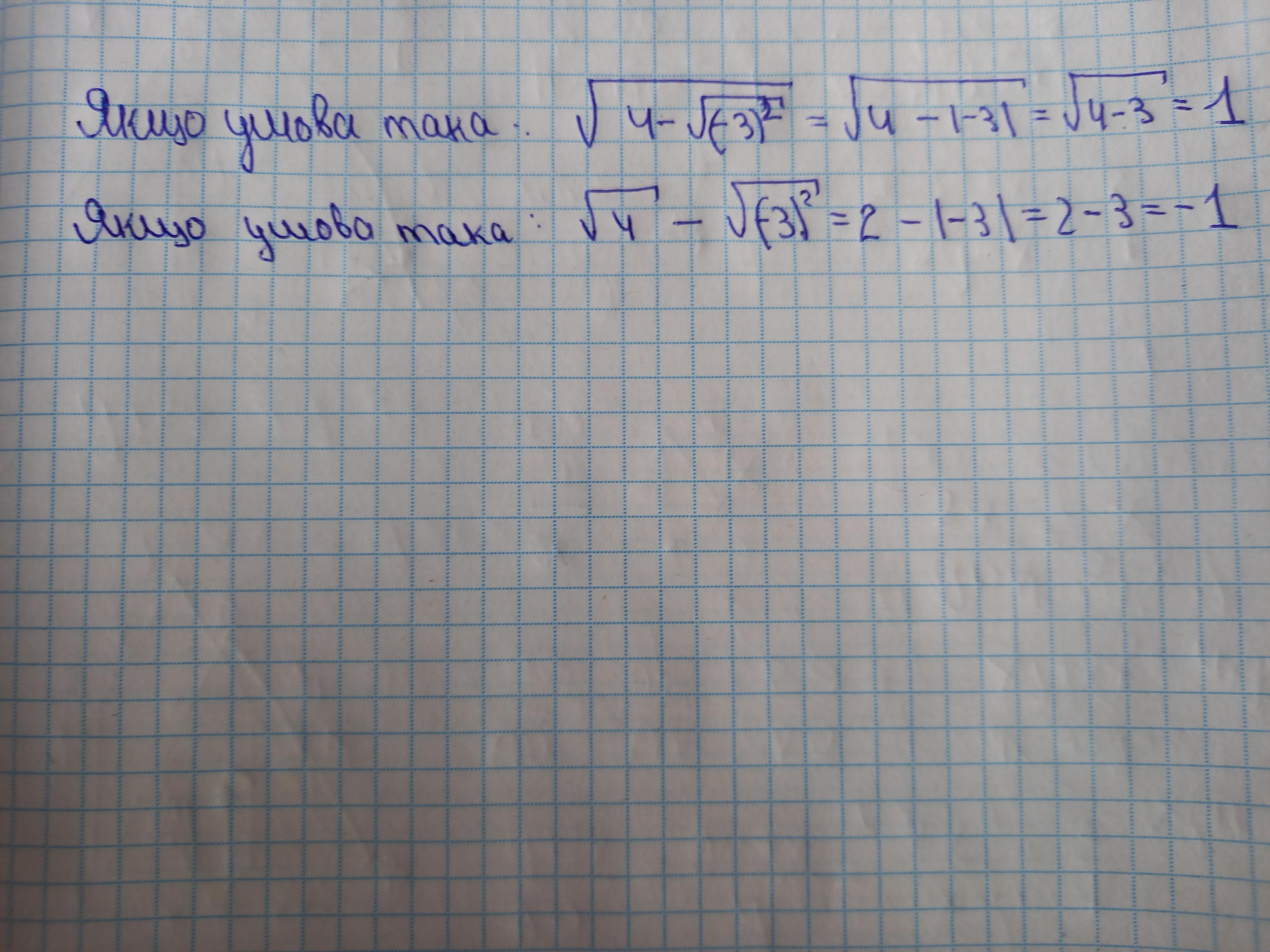
Пояснення: подивіться на умову.
Приложения:

aarr04594:
Яка у вас умова? Перша чи друга?
Вас заинтересует
2 года назад
2 года назад
2 года назад
7 лет назад
9 лет назад