• Предмет: Математика
  • Автор: caramelsmall7
  • Вопрос задан 7 лет назад

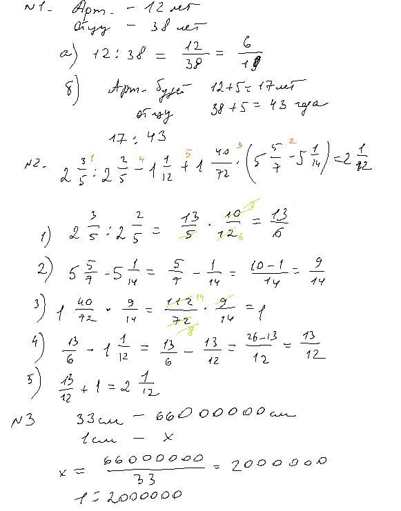
Помогите пожалуйста!!! Срочно!!!

Приложения:

Ответы

Ответ дал: dashulka22222
1

Ответ:

Пошаговое объяснение:

Приложения:
Вас заинтересует