Ответы
Ответ дал:
0
Ответ:
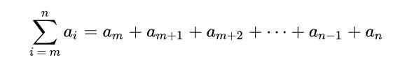
Сумму математически обозначают заглавной греческой буквой Σ.
(См. прикреп. файл)
i — индекс суммирования; ai — переменная, обозначающая каждый член в серии; m — нижняя граница суммирования, n — верхняя граница суммирования.
Запись внизу символа суммирования показывает, что переменная, которая меняет свои значения от слагаемого к слагаемому, обозначена буквой и что начальное значение этой переменной равно
Приложения:

Вас заинтересует
2 года назад
2 года назад
2 года назад
8 лет назад