• Предмет: Алгебра
  • Автор: TatyanaTatyana
  • Вопрос задан 11 лет назад

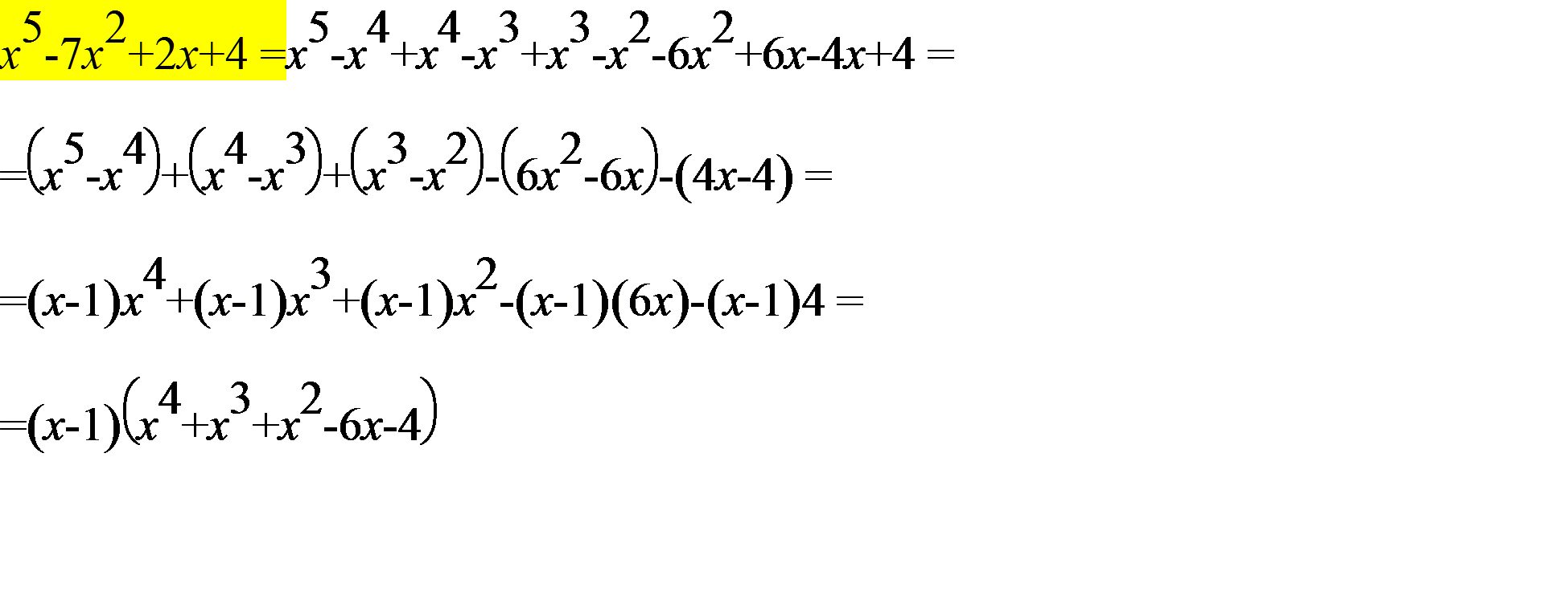
как разложить на множители x^5 - 7x^2 + 2x + 4?

Ответы

Ответ дал: triolana
0

файл

===========================

Приложения:
Вас заинтересует