• Предмет: Алгебра
  • Автор: gufi189266
  • Вопрос задан 7 лет назад

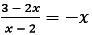
Прошу срочно помогите люди

Приложения:

Ответы

Ответ дал: vvolkovaaa
1
Надеюсь понятно, это биквадратное уравнение, решала через дискриминант
Приложения:

gufi189266: А ТУТ ТОЛЬКО ОДНО УРОВНЕНИЕ
vvolkovaaa: Второе еще надо? Я не заметила сначала
gufi189266: ДА
gufi189266: ПОЖАЛУЙСТА
vvolkovaaa: Нельзя два раза размещать ответ
gufi189266: РЕДАКТИРУЙ
gufi189266: ИЛИ ЩАС РАЗМЕЩЮ
Ответ дал: Aivazovska
0
Надеюсь всё понятно написано
Приложения:
Вас заинтересует