• Предмет: Алгебра
  • Автор: Аноним
  • Вопрос задан 7 лет назад

Производная , нужно решить!!!​

Приложения:

Ответы

Ответ дал: NNNLLL54
1

Ответ:

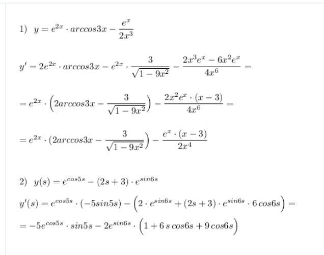
1)\ \ y=e^{2x}\cdot arccos3x-\dfrac{e^{x}}{2x^3}\\\\\\y'=2e^{2x}\cdot arccos3x-e^{2x}\cdot \dfrac{3}{\sqrt{1-9x^2}}-\dfrac{2x^3e^{x}-6x^2e^{x}}{4x^6}=\\\\\\=e^{2x}\cdot \Big(2arccos3x-\dfrac{3}{\sqrt{1-9x^2}}\Big)-\dfrac{2x^2e^{x}\cdot (x-3)}{4x^6}=\\\\\\=e^{2x}\cdot \Bug(2arccos3x-\dfrac{3}{\sqrt{1-9x^2}}\Big)-\dfrac{e^{x}\cdot (x-3)}{2x^4}

2)\ \ y(s)=e^{cos5s}-(2s+3)\cdot e^{sin6s}\\\\y'(s)=e^{cos5s}\cdot (-5sin5s)-\Big(2\cdot e^{sin6s}+(2s+3)\cdot e^{sin6s}\cdot 6\, cos6s\Big)=\\\\=-5e^{cos5s}\cdot sin5s-2e^{sin6s}\cdot \Big(1+6\, s\, cos6s+9\, cos6s\Big)

Приложения:

NNNLLL54: см
Аноним: спасибо большое
Вас заинтересует