• Предмет: Алгебра
  • Автор: nyaatory
  • Вопрос задан 7 лет назад

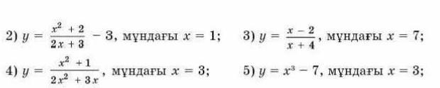
алгебра пожалуйста помогите​

Приложения:

Ответы

Ответ дал: nurlanishe
0

Ответ:

вот вот вои вот вот овт ыотслвжкжнжкжв

Приложения:
Вас заинтересует