✓592 помогитееее, отдам все балы
Приложения:

angormaktab:
Вам надо пошаговое решения всех уравнений из упражнения 592? или только ответы корней каждого уровнения?
Ответы
Ответ дал:
0
Ответ:
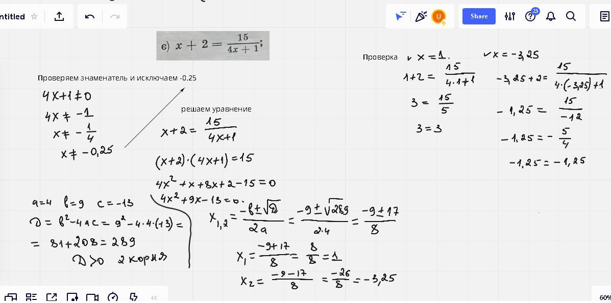
Отправляю пошаговое решение в пяти разных рисунках. Каждый пример отдельный рисунок не пропустите.
Пошаговое объяснение:
Приложения:





Вас заинтересует
2 года назад
2 года назад
2 года назад
2 года назад
8 лет назад