• Предмет: Математика
  • Автор: VanillaCoffee
  • Вопрос задан 7 лет назад

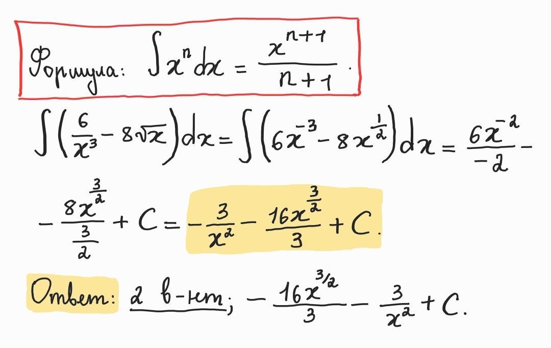
Найти неопределенный интеграл (с решением)

Приложения:

Ответы

Ответ дал: Kierra
0

~~~~~~~~~~~~~~~~~~~~

Приложения:
Вас заинтересует