• Предмет: Алгебра
  • Автор: arra3948
  • Вопрос задан 7 лет назад

ДАЮ 30 БАЛЛОВ ААААА
решите математику умоляю

Приложения:

Ответы

Ответ дал: tetamotatetyamotya
2

Ответ:вот

Объяснение:

Приложения:

tetamotatetyamotya: Подобные задачи решают с помощью системы. Главное понимать как,тогда будет легко.Надеюсь,я доступно объяснила.Вы правильно решили второе задание,умничка.
zvyozdnayarediska: вы объяснили, я уж больше не забуду, просто такие моменты нам в школе не объясняют, т. к. редко встречаются в ЕГЭ ОГЭ, у нас самое главное только объясняют
tetamotatetyamotya: Понятно.Печально.Если проходят по программе данную тему,то педагог обязан объяснять её подробно и доступно.
zvyozdnayarediska: не то чтобы проходим, как нам объяснила учительница, такие темы есть в книге не в основных параграфах, а в конце темы, в конце всех заданий, обычно называются "для любознательных", мы то вовсе не открываем эти страницы между темами, я и вовсе урок по алгебре не читаю мне достаточно того, что объяснит учительница
tetamotatetyamotya: Серъезно?А вот у нас это обязательная программа для обучения.Мы проходим в обязательном порядке,объясняем и,если ребёнок не понимает,я объясняю снова и снова,доступным языком.
zvyozdnayarediska: мда, мне бы такого учителя, мне нужно профильную математику сдавать, а покс учителя не могу найти
zvyozdnayarediska: моя учительница тоже так объясняет, но эта тема нам не встречалась почему-то
tetamotatetyamotya: Я рада,что у вас хороший педагог
zvyozdnayarediska: а я завидую вашим ученикам)
tetamotatetyamotya: )))
Ответ дал: zvyozdnayarediska
1

2. Это число 54 5+4=9 54:(5-4)=54

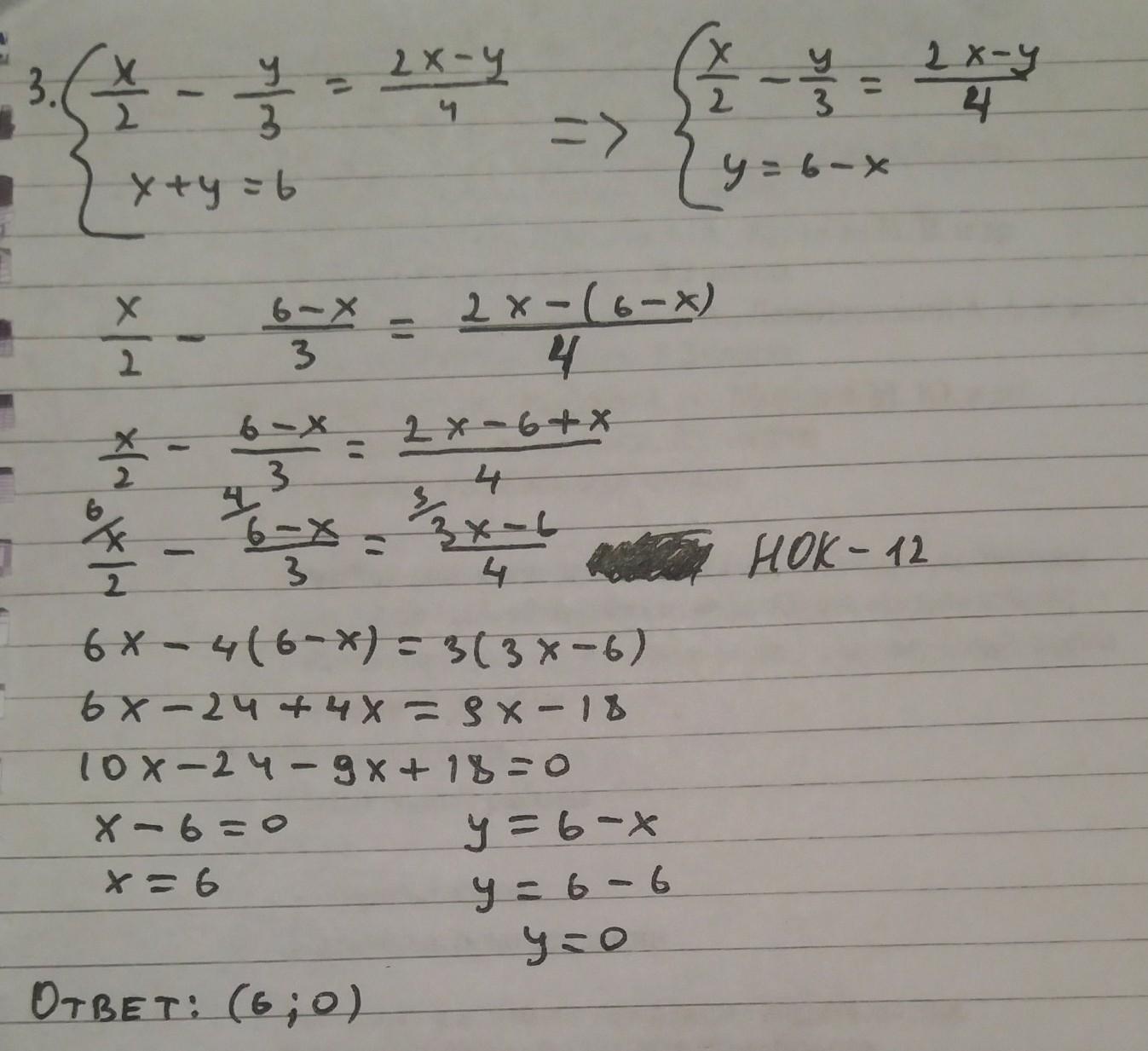
3. (6;0) если не ошиблась в решении

Приложения:

arra3948: большое спасиб, вы незнаете как первое делать?
zvyozdnayarediska: нет, я решала двумя способами ответ выходит разный
arra3948: а, хорошо
zvyozdnayarediska: могу отправить то что сделала, остальное сам(а) решай
arra3948: го
Вас заинтересует