• Предмет: Алгебра
  • Автор: nikitaanisimovfyd
  • Вопрос задан 7 лет назад

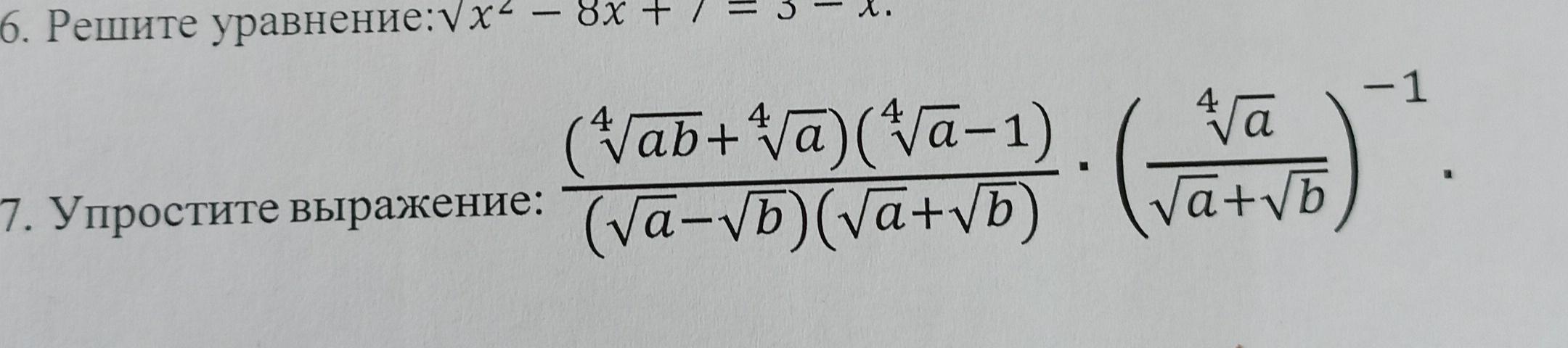
ПОМОГИТЕ ПОЖАЛУЙСТА

упростить выражение

Приложения:

Aleksoyder: Какое?? Скинь я на изи сделаю
nikitaanisimovfyd: 7 задание
Aleksoyder: А прости, у меня не прогрузилось

Ответы

Ответ дал: Universalka
1

\displaystyle\bf\\\frac{(\sqrt[4]{ab}+\sqrt[4]{a})(\sqrt[4]{a} -1)  }{(\sqrt{a} -\sqrt{b} )(\sqrt{a} +\sqrt{b}) } \cdot\Big(\frac{\sqrt[4]{a} }{\sqrt{a}+\sqrt{b}} \Big)^{-1}=\\\\\\=\frac{\sqrt[4]{a} (\sqrt[4]{b} +1)(\sqrt[4]{a} -1)}{(\sqrt{a} -\sqrt{b} )(\sqrt{a} +\sqrt{b} )} \cdot\frac{\sqrt{a} +\sqrt{b} }{\sqrt[4]{a} } =\frac{(\sqrt[4]{b} +1)(\sqrt[4]{a}-1) }{\sqrt{a} -\sqrt{b} }


Aleksoyder: Это на верно, он не доделал
nikitaanisimovfyd: спасибо большое!!!
Universalka: Пожалуйста
Ответ дал: Aleksoyder
1

Ответ:сори что дробных черт нету

Объяснение:

Приложения:

nikitaanisimovfyd: а это точно верно?;-;)
Вас заинтересует