• Предмет: Алгебра
  • Автор: cheripkoko
  • Вопрос задан 3 года назад

Помогите срочно надо сегодня

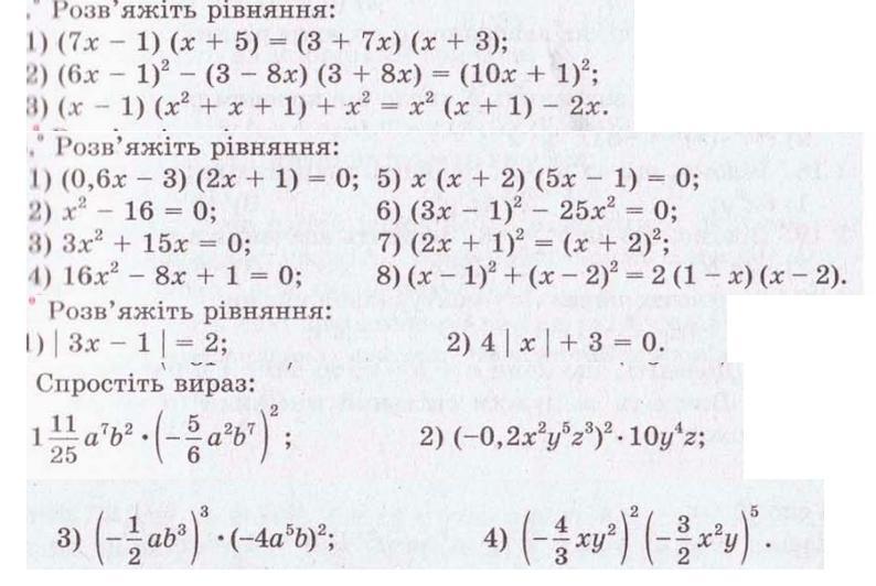
Приложения:

Ответы

Ответ дал: grenfilldda
1

Ответ:

1.

1) 7x^2+35x-x-5=3x+9+7x^2+21x

7x^2+34x-5=7x^2+24x+9

34x-24x=9+5

10x=14

x=1.4

2) 36x²-12x-9+64x²=100x²+20x

-12x-9=20x

-32x=9

x= - 9/32

третий не смогла решить


cheripkoko: ок
grenfilldda: хороша тогда жду когда вы напишите
cheripkoko: имя какое
cheripkoko: тут несколько
cheripkoko: kat
grenfilldda: @kathxs
cheripkoko: или Kath...
grenfilldda: вот прям копируюте
grenfilldda: с собачкой и найдете
grenfilldda: там на аватарке у меня девочка
Вас заинтересует