Ответы
Ответ дал:
0
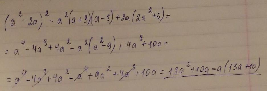
(а²-2а)²-а²(а+3)(а-3)+2а(2а²+5)=а⁴-4а³+4а²-а⁴+9а²+4а³+10а=13а²+10а
Demanaize:
подобные члены:а⁴ и 4а³ сокращаем
Ответ дал:
0
Ответ:
Подробное решение во вложении
Приложения:

Вас заинтересует
2 года назад
2 года назад
2 года назад
8 лет назад
8 лет назад
9 лет назад