• Предмет: Математика
  • Автор: 20SashaPaul08
  • Вопрос задан 3 года назад

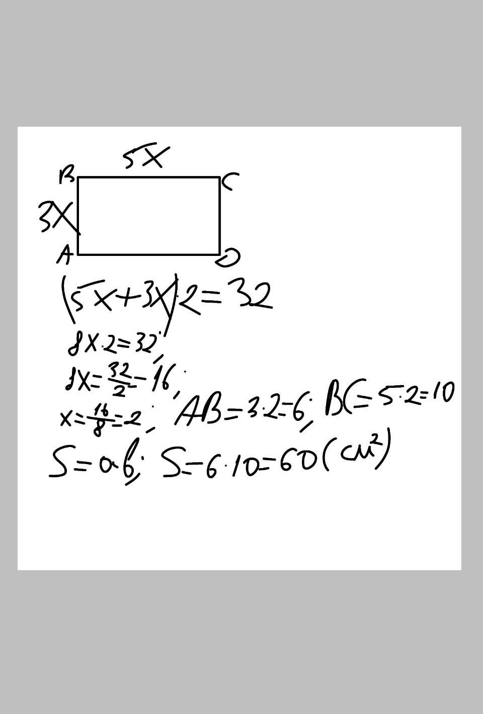
Периметр прямоугольника 32 см. Длина его относится к ширине как 5 : 3. Найдите площадь прямоугольника.​

Ответы

Ответ дал: korolula275
1

Пошаговое объяснение:

))))/)///////////////)

Приложения:

20SashaPaul08: что после второй строчки
korolula275: 8х*2=32
20SashaPaul08: спс
Вас заинтересует