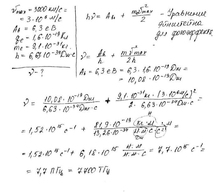
Какой частоты свет следует направить на поверхность пластины , чтобы максимальная скорость фотоэлектронов была равна 3000 км/ч? Работа выхода электрона из платины равна 5,3 эВ
Ответы
Ответ дал:
0
Ответ:
вот ответ 1 2 3 4 5 6 7 8 9 10 11 22 33 44 5 6 677 7 7
Приложения:

Вас заинтересует
2 года назад
2 года назад
2 года назад
2 года назад
8 лет назад
8 лет назад
9 лет назад
9 лет назад