• Предмет: Математика
  • Автор: gareevarozalia776
  • Вопрос задан 7 лет назад

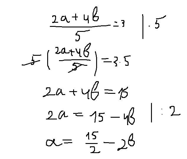
Пожалуйста с полным решением! не нужно просто ответ!! если просто ответ ничего не объясняющий бан.​

Приложения:

Ответы

Ответ дал: solomindmitro
1

Ответ:

точнее обьяснить не возможно

Пошаговое объяснение:

Приложения:

gareevarozalia776: спасибо
solomindmitro: пожалуйста
Вас заинтересует