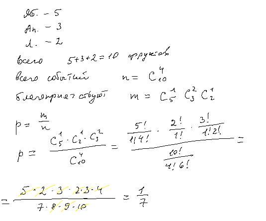
1. I3 5 яблук, З апелтсина i 2 лимоюв навмання 4 фрукти. Знайти ймовірність того, що серед вибраних piBH0 1 яблуко, 1 лимон, а решта апельсини.
Ответы
Ответ дал:
0
Ответ:
Пошаговое объяснение:
Приложения:

sydorenko357:
спасибо
Вас заинтересует
2 года назад
2 года назад
2 года назад
9 лет назад