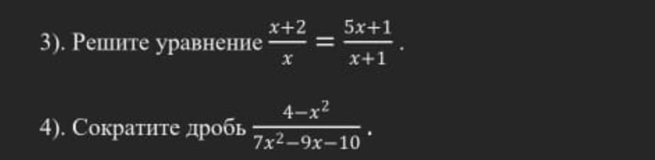
1)сократите дробь 4-х²/7х²-9х-10
2)решите уравнение х+2/х=5х+1/х+1
ПОМОГИТЕ ПОЖАЛУЙСТА, ДАЮ 30 БАЛЛОВ
Приложения:

Ответы
Ответ дал:
1
Вложение фото решения, ответа.
Приложения:

pufikovpufik:
спасибо большое
Ответ дал:
0
Ответ:
1.
2.
Найдем корни знаменателя
Значит корни уравнения
Вас заинтересует
2 года назад
2 года назад
2 года назад
2 года назад
8 лет назад