!!!!! ДАЮ 65 БАЛЛОВ ПОМОГИТЕ ПОЖАЛУЙСТА СРОЧНО !!!!!
!!!!!! Розв'язати задачу за допомогою рівняння. !!!!!!
До трьох магазинів завезли 68 кг цукерок. В другий магазин було завезено на 4кг цукерок менше ніж в перший. А в третій магазин доставили в Зрази більше цукерок ніж в другий магазин. Скільки кг цукерок було завезено в кожний магазин?
Ответы
Ответ дал:
1
Ответ:
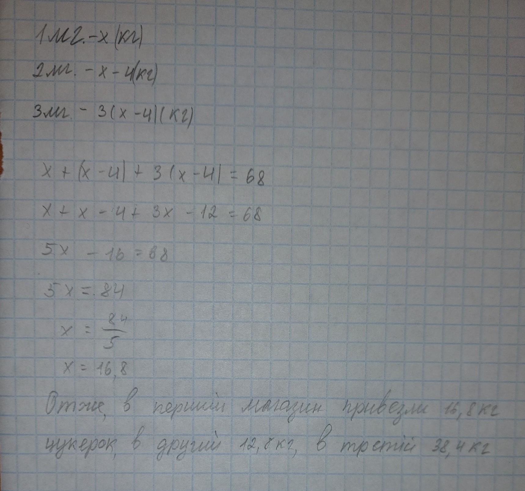
...ответ смотрите на фото...
Приложения:

Ответ дал:
2
Пошаговое объяснение:
1 магазин = х + 4 кг конфет
2 магазин = х кг конфет
3 магазин = 3 * х = 3х кг конфет
Всего = 68 кг конфет
х + 4 + х + 3х = 68
5х + 4 = 68
5х = 68 - 4
5х = 64
х = 64 : 5
х = 12,8
1 магазин = (х + 4) = 12,8 + 4 = 16,8 кг конфет
2 магазин = (х) = 12,8 кг конфет
3 магазин = (3х) = 3 * 12,8 = 38,4 кг конфет
Вас заинтересует
2 года назад
2 года назад
2 года назад
2 года назад
7 лет назад
7 лет назад
9 лет назад