• Предмет: Математика
  • Автор: tutdurkaxa
  • Вопрос задан 7 лет назад

ПОМОГИТЕ ДАЮ 18 БАЛОВ
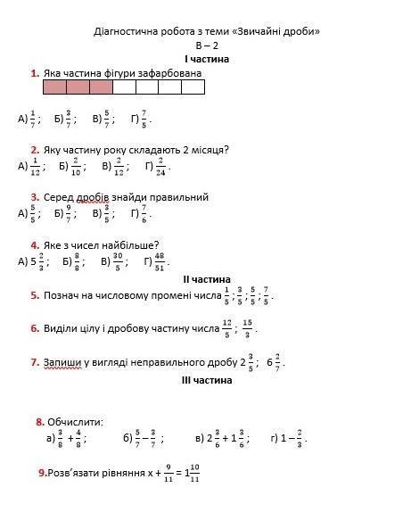
Нужны ответы на 5 6 7 8 9 задания !!

Приложения:

Elena3982: 1) 3/7
Elena3982: 2) 2/12
tutdurkaxa: Я уже 4 задания зделал мне нужно 5 6 7 8 9 задания
Elena3982: В 5 завданні треба промінь креслити.
Elena3982: 6.) 12/5=2 целых 2/5; 15/2= 7 целых 1/2
Elena3982: 7) 2. 3/5=13/5; 6. 2/7=44/7

Ответы

Ответ дал: Tixosolnce
0

Ответ:

5. [Переведи, пожалуйста на русский, я не понимаю]

6.

Две целых, две пятых

5 целых

7. Тринадцать пятых; сорок четыре седьмых

8. Семь восьмых; две седьмых; четыре целых(ровно); одна третья

9. [Извиняюсь что текстом, потом смогу картинку добавить]

X=1 10/11(одна целая, десять одиннадцатых) - 9/11(девять одиннадцатых)

Х= 1 1/11(одна целая, одна одиннадцатая)


tutdurkaxa: В 5 нужно числовой луч накреслить и написать дробь я хз как
Tixosolnce: А, наверное, отрезки
tutdurkaxa: ну да
Elena3982: Я тобі виклала цей промінь.
Ответ дал: Elena3982
0

Пошаговое объяснение:

Это 5; 8 и 9................

Приложения:
Вас заинтересует