• Предмет: Математика
  • Автор: khodzhaeva2009
  • Вопрос задан 7 лет назад

Пожалуйста помогите, отмечу как лучший ответ

Приложения:

Ответы

Ответ дал: Аноним
1

\displaystyle \frac{7}{10}*\frac{10}{7}*\frac{14}{15}*\frac{15}{16}*\frac{8}{10}=\frac{14}{15}*(\frac{15}{16})*(\frac{8}{10})=\frac{14*15}{15*16}*(\frac{8}{10})=\frac{14}{16}*(\frac{8}{10})=\\ \\ \frac{7}{8}*(\frac{8}{10})=\frac{7}{8}*(\frac{4}{5})=\frac{7*4}{8*5}=\frac{28}{40}=\frac{7}{10}=0,7

Ответ дал: parus77
1

Ответ:

Пошаговое объяснение:

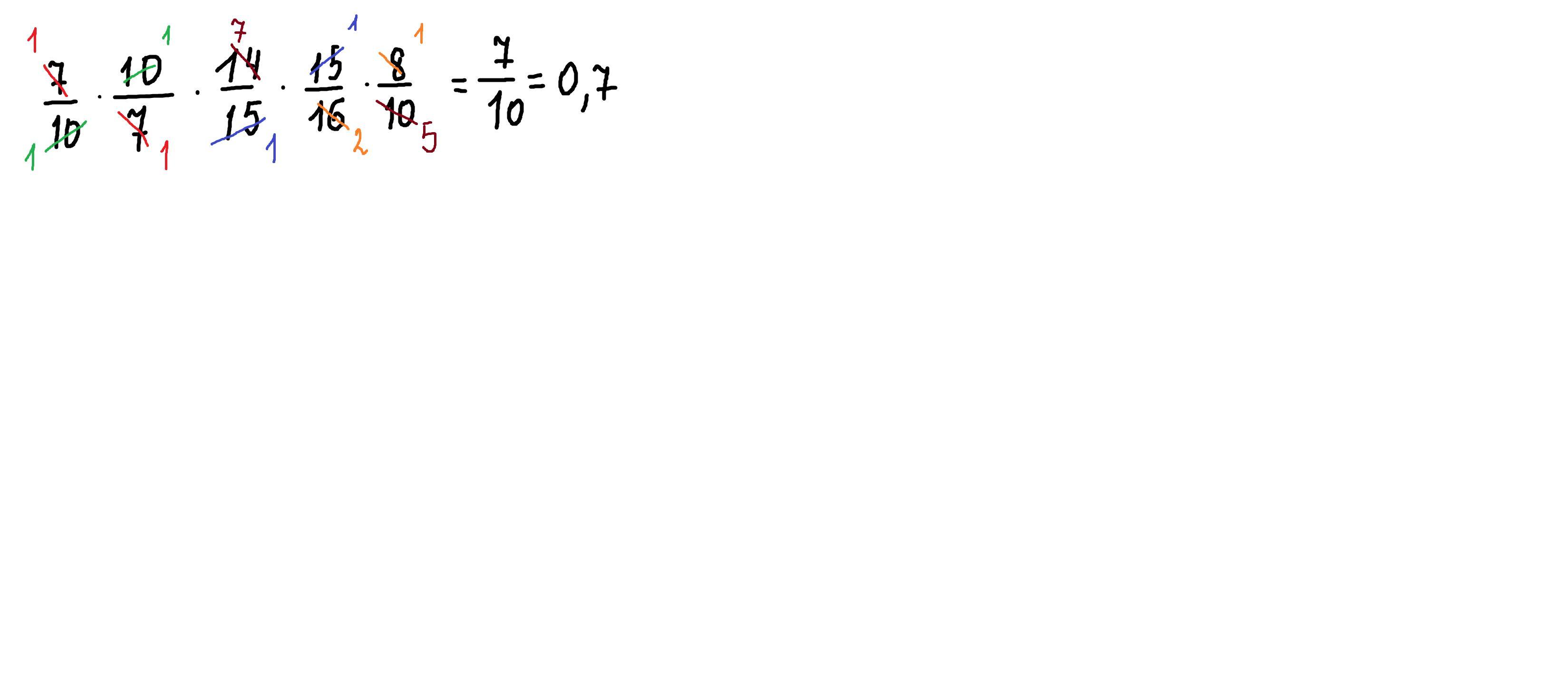
выполним сокращение чисел и получим 7\10

что с чем сокращается показано одинаковым цветом

Приложения:
Вас заинтересует