• Предмет: Математика
  • Автор: yakisyavi
  • Вопрос задан 7 лет назад

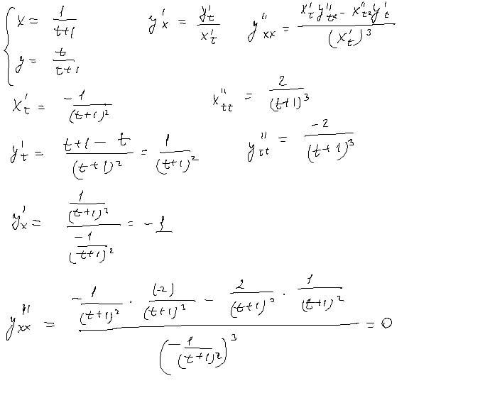
Найти производную функции ​

Приложения:

Ответы

Ответ дал: dashulka22222
1

Ответ:

Пошаговое объяснение:

Приложения:
Вас заинтересует