• Предмет: Математика
  • Автор: intel5487
  • Вопрос задан 7 лет назад

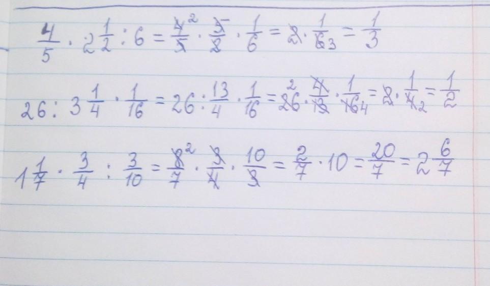
2) 2 : 6; 1 1 1 4) 26:3-. 4 16 1 3 3 6) 1. 7 4 10 2​

Приложения:

Ответы

Ответ дал: Elena3982
0

Пошаговое объяснение:

Вот тебе ответ.........

Приложения:

Ffafad: и у меня неправильно?Мда вот допустим=во втором примере (начало) 26:3*1/4*1/16 26:3 надо записать в виде дроби
Elena3982: Посмотри как у меня.))))))
Ffafad: ты вообще мой комм читала?
Ffafad: мой ответ был удален из-за того что не было объяснений так что пишу тут
Ffafad: ты не устала ещё ждать?))))))))))))))))))))))))))))))))))))))))))))))))))))))))))))))))))))))))))))
Elena3982: Нет.Я своими делами занимаюсь.)
Ffafad: вопрос задан
Ffafad: чуть не забыл
Ffafad: ))))))))))))))))))))))))))))))))))))
Elena3982: Убедился что твой калькулятор даёт сбой.))))))))
Вас заинтересует