• Предмет: Алгебра
  • Автор: aruzhanazamatkizi01
  • Вопрос задан 7 лет назад

помогите пожалуйста с алгеброй​

Приложения:

Ответы

Ответ дал: Mnick
1

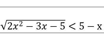
решил неравенство, на фото все расписал

Приложения:
Вас заинтересует