СРОЧНО. В урне 4 оранжевых шара и 2 фиолетовых. Извлечено 3 шара. Найти вероятность того, что из трех извлеченных шаров два шара будут фиолетовыми
Ответы
Ответ дал:
0
Ответ: 0.2
Объяснение:
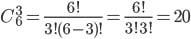
- Общее число возможных элементарных исходов для данных испытаний равно числу способов, которыми можно извлечь 3 шаров из 6:
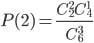
- Найдем вероятность того, что среди выбранных 3 шаров 2 фиолетовых :
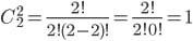
- Количество вариантов выбора из 2 фиолетовых шаров:
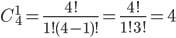
- Количество вариантов выбора из 4 оранжевых шаров оставшийся 1 оранжевый :
Приложения:





Вас заинтересует
2 года назад
2 года назад
8 лет назад
8 лет назад