• Предмет: Математика
  • Автор: davidsona
  • Вопрос задан 7 лет назад

100 баллов, решите пожалуйста

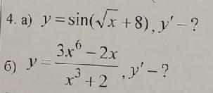
Приложения:

Ответы

Ответ дал: Аноним
1

а) у'=cos(√x+8)*(1/(2√x))=0.5cos(√x+8)/(√x)

это сложная функция, бере производную от синуса, а потом от его аргумента и перемножаем.

б)ищем по формуле(  u/v)'=(u'v-uv')/v², где

u=(3х⁶-2х), v=(х³+2);  (хⁿ)'=n*xⁿ⁻¹;

у'=((18х⁵-2)*(х³+2)-3х²*(3х⁶-2х))/(х³+2)²=(18х⁸+36х⁵-2х³-4-9х⁸+6х³)/(х³+2)²=

(9х⁸+36х⁵-4+4х³)/(х³+2)²=

Вас заинтересует