• Предмет: Алгебра
  • Автор: valeriacernova585
  • Вопрос задан 7 лет назад

найдите значение выражения
40 баллов
8 класс
Желательно каким нибудь одним способом ​

Приложения:

Ответы

Ответ дал: parus77
1

Ответ:

Объяснение:

"минус" в четной степени дает "плюс"

где не понятно-спрашивайте.

Приложения:
Ответ дал: Аноним
1

Ответ:

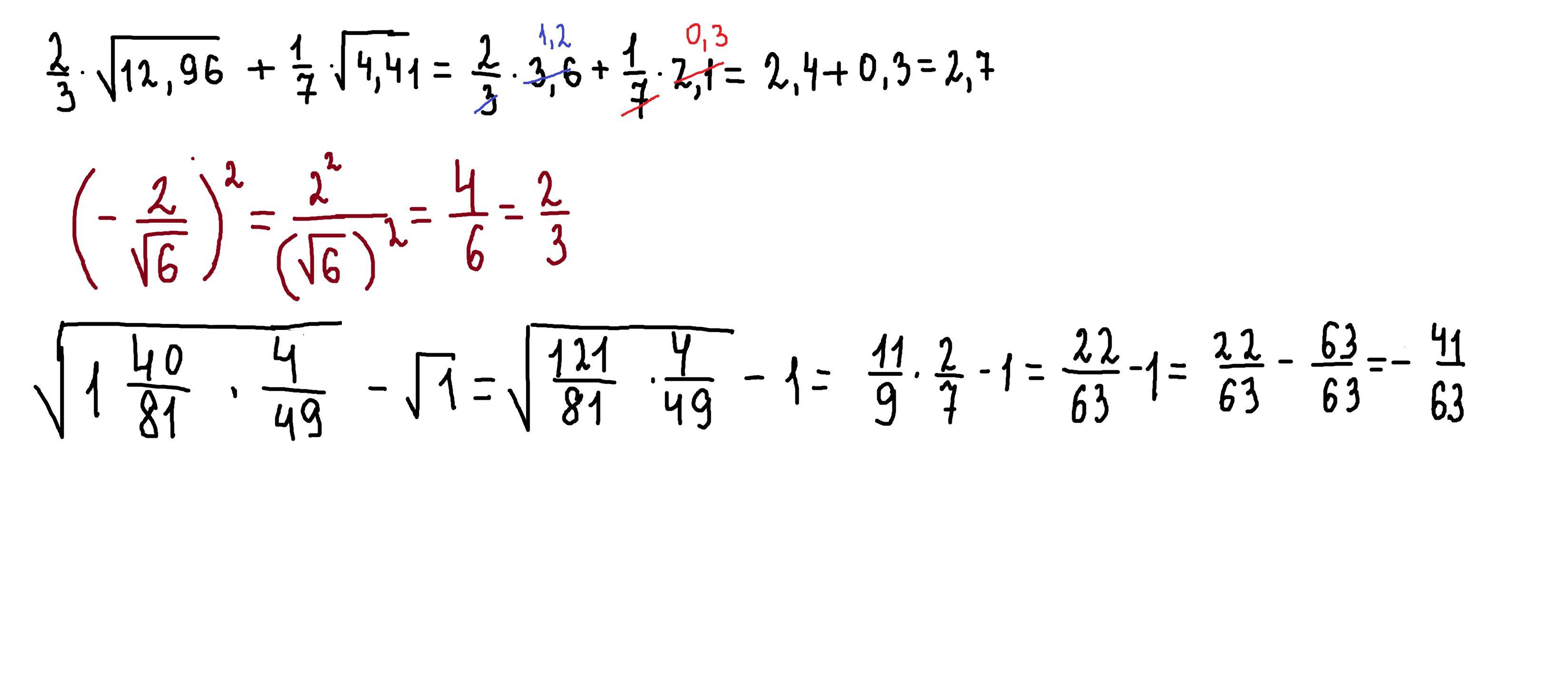
\frac{2}{3} \sqrt{3,6*3,6}+\frac{1}{7}  \sqrt{2,1*2,1} =\frac{2}{3} *\frac{36}{10} +\frac{1}{7} *\frac{21}{10} = \frac{24}{10} +\frac{3}{10}=\frac{27}{10}=2,7\\ \\\frac{-2}{\sqrt{6} } *\frac{-2}{\sqrt{6} } = \frac{4}{6} = \frac{2}{3} \\\\\sqrt{\frac{121}{81} *\frac{4}{49} } -\sqrt{1} = \sqrt{\frac{121}{81} *\frac{4}{49} } -\sqrt{1} =  \sqrt{\frac{484}{3969}} -\sqrt{1} =  \sqrt{\frac{22*22}{63*63}} -\sqrt{1*1}=\frac{22}{63} -1=-\frac{41}{63}

Объяснение:

\sqrt{x} *\sqrt{x} =x

Если  есть вопросы, отвечу в комментариях

Вас заинтересует