• Предмет: Алгебра
  • Автор: Аноним
  • Вопрос задан 7 лет назад

Производная Помогите пожалуйста ​

Приложения:

Ответы

Ответ дал: olgaua64
1

Відповідь:

Пояснення:

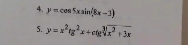
4. у'=-5sin5x×sin(8x-3)+8cos5x×cos(8x-3)

5. y'=2xtg²x+2xtgx/cos²x-(2x+3)/(3(x²+3x)^⅔)sin²((x²+3x)^⅓))


Аноним: спасибо большое
olgaua64: :)
Вас заинтересует