• Предмет: Математика
  • Автор: fanatchelsea1999
  • Вопрос задан 7 лет назад

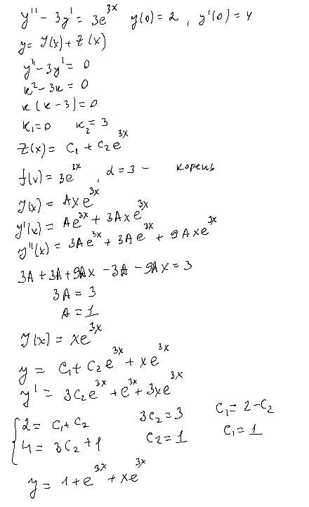
Найти частное решение линейного неоднородного дифференциального уравнения второго порядка, удовлетворяющее начальным условиям.

Приложения:

Ответы

Ответ дал: dashulka22222
2

Ответ:

Пошаговое объяснение:

Приложения:
Вас заинтересует