• Предмет: Алгебра
  • Автор: vladaboba113
  • Вопрос задан 7 лет назад

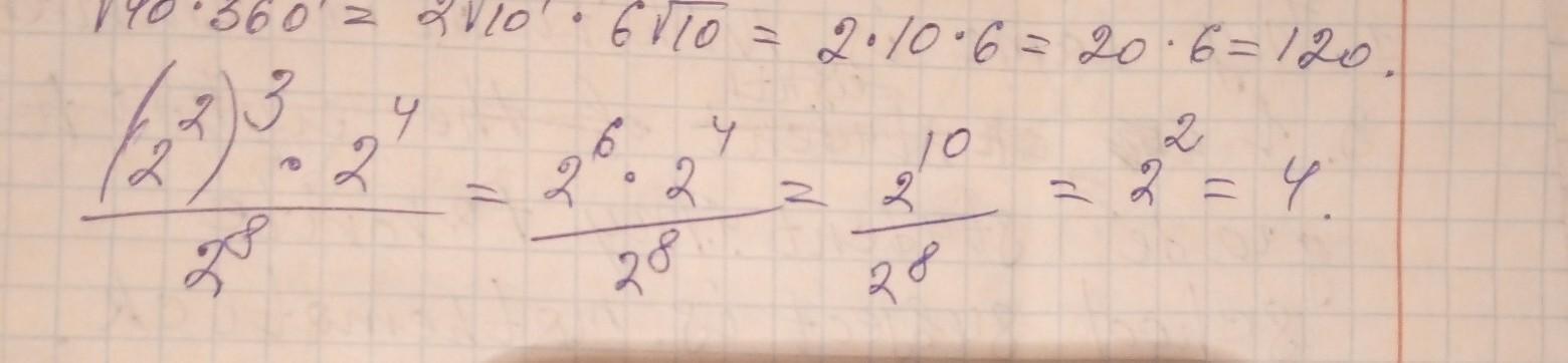
(2²)³×2⁴
------------
2⁸​

Ответы

Ответ дал: ScallyFlow
1

Ответ:

Ответ 4

Объяснение:

Есть приложение фотомаз там все подроюно написано и пошаговые действия


ScallyFlow: его сожно скачать на play market
ScallyFlow: можно*
Ответ дал: OblivionFire
2

Ответ:

надо знать свойства степеней.

Приложения:

smartnekki: ужасный подчерк
smartnekki: шучу
Вас заинтересует