• Предмет: Математика
  • Автор: olesyaosipova2019
  • Вопрос задан 7 лет назад

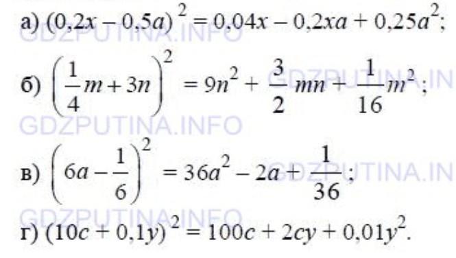
(0, 2x-0, 5a) ² помогите решить пожалуйста

Ответы

Ответ дал: aniamadievas
0

Ответ:

воооооооооооооооооот

Приложения:
Вас заинтересует