ребят надеюсь на вашу помощь,а не на игнор,как человек не понимающий в алгебре говорю,помогите пожалуйста.❤
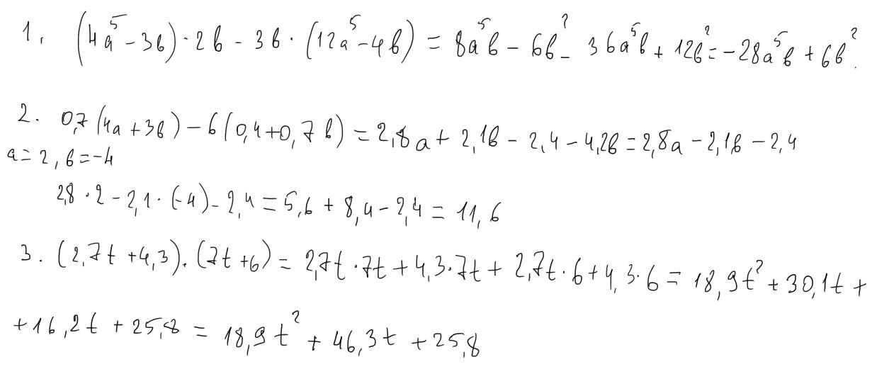
1.упростить выражение

2.найдите значение алгебраического выражения
при a=2,b= -4

3.выполните действия

помогите.только без игнора прошу вас
kssuzxq:
ребят ну ответье пожалуйста..
ща
во 2-м там где 2я скобочка, точно просто 0.4, а не 0.4а?
Ответы
Ответ дал:
0
Ответ:
ну тогда так
Объяснение:
Приложения:
Вас заинтересует
2 года назад
2 года назад
9 лет назад
10 лет назад
10 лет назад