• Предмет: Алгебра
  • Автор: tarlan91
  • Вопрос задан 7 лет назад

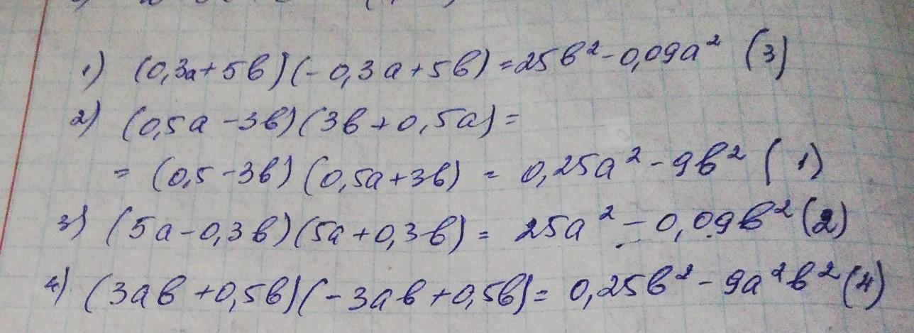
Разность квадратов двух выражений. Урок 1 Соедини равные выражения. Количество соединений: 4 (0,3a + 5b)(-0,3a + 5b) 0.25 92 - 962 25 a2 -0,0962 (О (0,5a - 3b)(3b + 0,5a) (5a - 0,3b)(5a +0,36) ( О 25b2 – 0,09а? (Заb + 0,5b)(-3ab + 0,5b) 0,25b2-9a262​

Приложения:

Ответы

Ответ дал: larisaserova53
50

Ответ:

Смотри решение на фото..

Приложения:

larisaserova53: Если экспертам не реришь, тогда извини Решай сам!!!!
komokkota777: спасибо огромное выручил
irinakz2: ПРАВИЛЬНО ПРОСТО ВНИМАТЕЛЬНО СМОТРИТЕ
ekaterinasuetina3: спасибо
larisaserova53: он видимо увидел там соединение двух выражений и решил, что неправильно
amanatamanat2008: не правельно
arturLoshpedus: правильно, я проверял в онлайнмектепе
larisaserova53: НЕ ОБРАЩАЙТЕ ВНИМАНИЯ НА ТО СОЕДИНЕНИЕ, КОТОРОЕ ЕСТЬ НА ФОТО. это неверное соединение Смотрите ответы, ниже
tsotkalievs: это правильно на 100%
Аноним: на письменном фото в ответе все ПРАВИЛЬНО
Ответ дал: safarova1972
24

Ответ:

Объяснение:

Вот ответ

Приложения:

kidss48: Это не то
Вас заинтересует