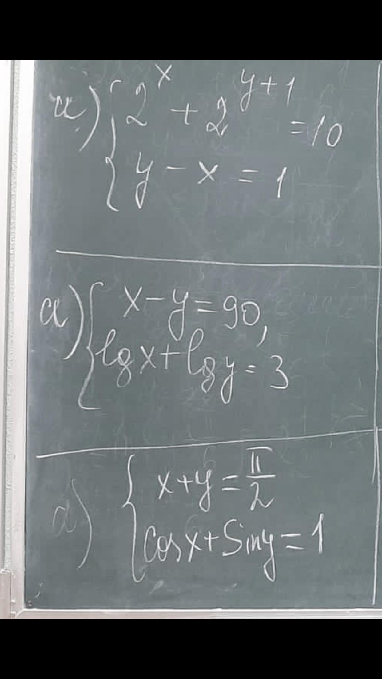
Сделайте пожалуйста, и распушите все по подробней, спасибо. И не надо брать с интернета, к решению из photomath придерутся
Приложения:

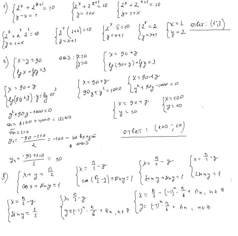
Ответы
Ответ дал:
1
Ответ:
Пошаговое объяснение:
Приложения:

Вас заинтересует
2 года назад
2 года назад
2 года назад
8 лет назад
8 лет назад
9 лет назад