• Предмет: Математика
  • Автор: anya86698
  • Вопрос задан 7 лет назад

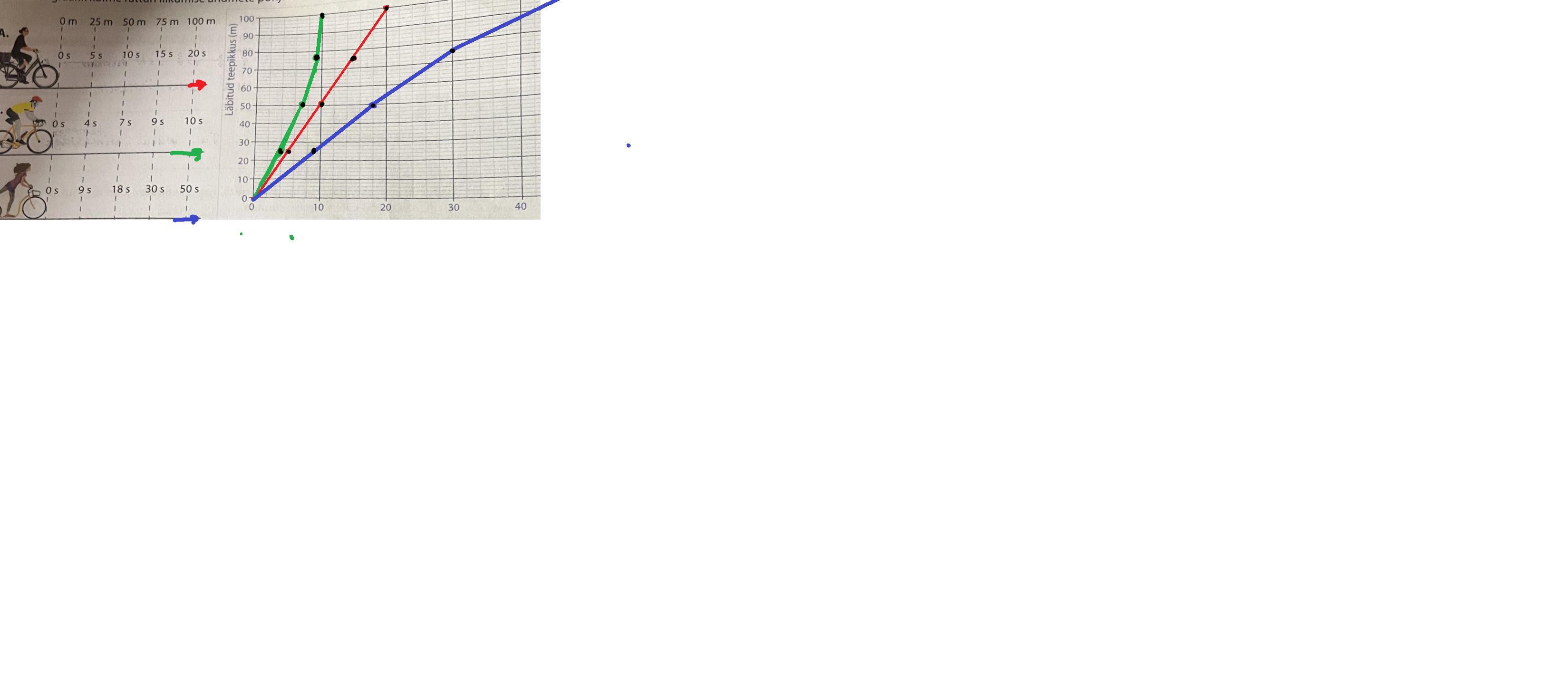
Помогите пожалуйста очень прошу умоляю тут надо нарисовать график на основе данных о движении трех гонщиков

Приложения:

trtrtt: перефотографируй, пожалуйста, чтоб все было виднл
anya86698: Хорошо
anya86698: Все
anya86698: Я заново кинула задание

Ответы

Ответ дал: parus77
0

Ответ:

Пошаговое объяснение:

графики внизу

Приложения:
Вас заинтересует