• Предмет: Математика
  • Автор: ayazan4ik2009
  • Вопрос задан 7 лет назад

помогите прошуу .срочно до завтра нкжно​

Приложения:

Ответы

Ответ дал: greenbeam
1

Ответ:

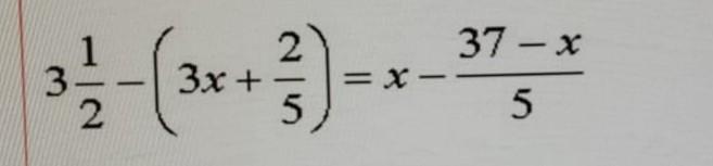
3 1/2 -(15x+2)/5 = (5x-37+x)/5

(35 - 30x -4)/5 = (6x-37)/5

31-30x = 6x-37

-36x =-68

x = 68/36 = 1 32/36 = 1 8/9

Пошаговое объяснение:


ayazan4ik2009: спасибо огромное .но можно спросить НОК -30?
Вас заинтересует