• Предмет: Алгебра
  • Автор: dora0010001
  • Вопрос задан 7 лет назад

мне из кожи лезть что бы решить это или что ​

Приложения:

Ответы

Ответ дал: Evreika77
1

Ответ:

Объяснение:

Смотри

Приложения:

dora0010001: хорош
Ответ дал: sonealya
4

Решаем перекрестным способом (с помощью перекрестного умножения).

Выглядит он следующим образом:

  • \boxed{\displaystyle \frac{a}{b}=\frac{c}{d}=> ad=bc}

Решение.

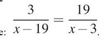
\displaystyle \frac{3}{x-19}=\frac{19}{x-3} \\\\3*(x-3)=(x-19)*19\\3x-9=19x-19*19\\3x-9=19x-361\\3x-19x=9-361\\-16x=-352\\\\x=\frac{-352}{-16}\\\\x=22

Ответ: \displaystyle x=22.

Вас заинтересует