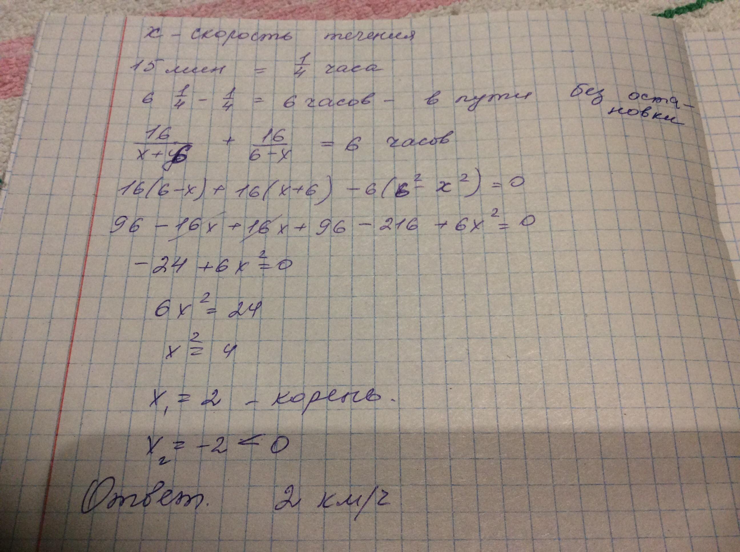
Катер возит туристов по Амазонке от одной пристани до другой. Расстояние между ними равно 16 км; он сделал стоянку на 15 мин и вернулся обратно через 6 1/4 часа. Найди скорость течения, если известно, что скорость катера в стоячей воде 6 км/ч.
Приложения:

Ответы
Ответ дал:
2
Ответ: 2 км/ч
Объяснение:
Приложения:

Вас заинтересует
2 года назад
8 лет назад
9 лет назад