Помогите решить и показать как решили)))
Виконай дії.
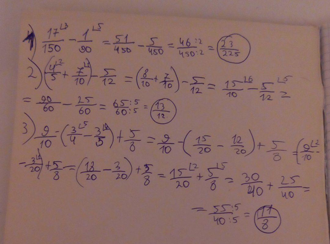
4) 17/150 - 1/90; 4/5 + 7/10 - 5/12; 6) 9/10 - (3/4 - 3/5) + 5/8
Ответы
Ответ дал:
1
Ответ:
таоаоаоклслкшплпдпщпп
Ответ дал:
2
Ответ:
Пошаговое объяснение:
Приложения:

Вас заинтересует
2 года назад
2 года назад
2 года назад
2 года назад
8 лет назад
8 лет назад
9 лет назад